Вибори у Харкові: в протоколах виявили розбіжності ще на 30 дільницях
У Харкові продовжуються перевірки протоколів підрахунків голосів виборців. Спостерігачі виявили розбіжності у документах на 30 із 40 виборчих дільниць Холодногірського району.
Про це повідомили у Громадянській мережі "ОПОРА".
Читайте також: "Тобі ще у Харкові жити". Спостерігачам "ОПОРИ" надходять погрози через оскарження результату виборів
Розбіжність становить 248 голосів на користь Ігоря Терехова
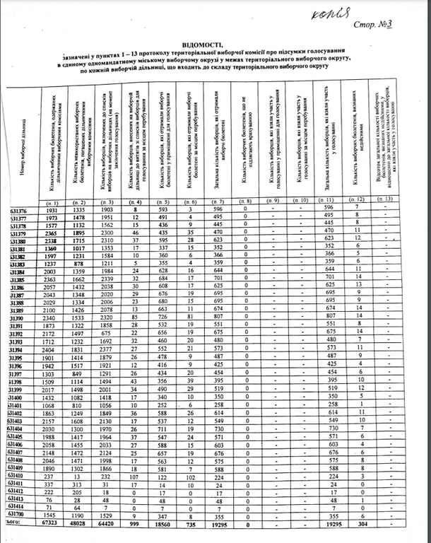
Під час перевірки протоколів спостерігачі знайшли невідповідність у даних 30 із 40 виборчих дільниць Холодногірського району. Як виявилось, кількість голосів за Ігоря Терехова в протоколі про підсумки голосування була більшою на 248 голосів від занесеної в протокол №12 засідання ТВК, що отримали спостерігачі "ОПОРИ".
Розбіжності помітили у протоколах на таких дільницях: 631376, 631377, 631378, 631381, 631382, 631383, 631384, 631385, 631386, 631388, 631389, 631391, 631392, 631393, 631395, 631396, 631397, 631398, 631399, 631400, 631401, 631402, 631403, 631404, 631405, 631406, 631407, 631408, 631409, 631700.
Це вже третій район Харкова, де у протоколах виборчих дільниць знаходять невідповідності у кількості голосів.

Фальсифікації на виборах мера Харкова
- Вибори у Харкові – у протоколах уже виявили 572 "лівих" голосів на користь одного з кандидатів.
- "ОПОРА" звернулася до Центральної виборчої комісії зі скаргою з приводу 10 сфальсифікованих протоколів дільничних виборчих комісій. Основні порушення фіксувалися на етапі подання оригіналів протоколів з дільниць до територіальних виборчих комісій.
- Ігор Терехов визнаний новим мером Харкова. За даними міської виборчої комісії, він набрав 146 240 голосів (50,66%) і виграв вибори в один тур.
Читайте Новини.LIVE!

